Шановні учні 9 Б класу!
1). Перший урок алгебри за темою "Підготовка до контрольної роботи з теми "Числові послідовності" буде проходити на платформі zoom о 8.00
Індефікатор конференції 853 772 0840
Пароль 12345
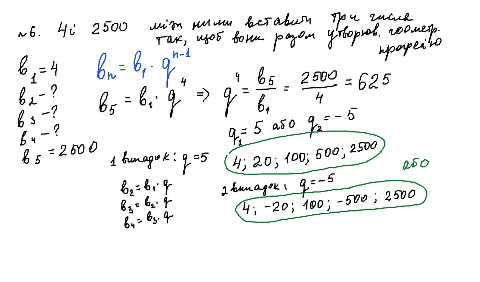
Скриншоти класної роботи
2). На третьому уроці ви будете виконувати контрольну роботу № 4 з теми "Числові послідовності". Посилання на завдання буде розміщено після 1 уроку на моєму блозі, в таблиці на сайті школи, в групі вайбер "Математика 9Б клас". На виконання роботи вам буде відведено 1 годину з 10.00 до 11.00 Контрольна робота буде оформлена у вигляді онлайн-тесту, оцінення якого буде вчителем, тому оцінка вам прийде на поштову скриньку у середу.Посилання на завдання контрольної роботи (для 9Б класу)
Шановні учні 9 А класу!
1). Другий урок алгебри за темою "Підготовка до контрольної роботи" буде проходити на платформі zoom о 9.00
Індефікатор конференції 853 772 0840
Пароль 12345
Скриншоти класної роботи
2). На третьому уроці ви будете виконувати контрольну роботу № 4 з теми "Числові послідовності". Посилання на завдання буде розміщено після 2 уроку на моєму блозі, в таблиці на сайті школи, в групі вайбер "Учні 9А клас". На виконання роботи вам буде відведено 1 годину з 10.00 до 11.00 Контрольна робота буде оформлена у вигляді онлайн-тесту, оцінення якого буде вчителем, тому оцінка вам прийде на поштову скриньку у середу.Посилання на завдання контрольної роботи (для 9А класу)







Комментариев нет:
Отправить комментарий